Borang Bppdp 2 A





Borang Bppdp 2 A Pdf

Borang Bppdp 2 A Pdf

Borang Bppdp Eprd

Borang Bppdp Eprd

Borang Bppdp Eprd

Borang Bppdp Eprd

Brg Bpppdp 2 A 130419

Brg Bpppdp 2 A 130419

Pdf Borang Eprd Pdf Richarl S Academia Edu

Pdf Borang Eprd Pdf Richarl S Academia Edu

Borang Bppdp 1 1

Borang Bppdp 1 1

Borang Bppdp 1 1

Antara perkara yang harus diselesaikan sebelum menghantar borang permohonan tersebut termasuklah mengemukakan.

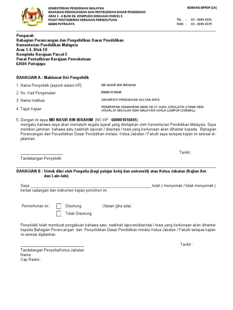
Borang bppdp 2 a. Muat turun borang permohonan menjalankan kajian bppdp 1 2 langkah kelima. Mulai 1 mac 2018 semua urusan permohonan kebenaran menjalankan kajian hanya boleh dibuat melalui sistem eras 2 0 sahaja. Borang bppdp 2 a yang disahkan oleh penyelia pelajar institut pengajian tinggi ketua jabatan kajian am. Walau bagaimanapun bahagian masih menerima permohonan melalui borang bppdp 1 2 dan mengeluarkan surat secara manual sehingga 28 februari 2018.

Boleh hantar menggunakan pos atau serah sendiri di alamat berikut. Borang bppdp 2 ditandatangani oleh pembentang. Walau bagaimanapun bahagian masih menerima permohonan melalui borang bppdp 1 2 dan mengeluarkan surat secara manual sehingga 28 februari 2018. Portal rasmi kementerian pendidikan malaysia.

Borang bppdp 2 telah disokong dan ditandatangani oleh ketua jabatan. Tinjauan literatur dan bab 3. Permohonan melalui borang bppdp 1 2 masih diterima sehingga 28 februari 2018. Untuk makluman mulai 1 mac 2018 semua urusan permohonan kebenaran menjalankan kajian hanya boleh dibuat melalui sistem eras 2 0 sahaja.

Hanya permohonan yang lengkap sahaja akan diproses dalam tempoh 5 hari. Satu salinan borang penyelidikan bppdp 1 2 yang lengkap. Borang untuk memohon kebenaran menjalankan kajian di kementerian pelajaran malaysia by rusydah80. Bahagian perancangan dan penyelidikan dasar pendidikan.

Mulai 1 disember 2017 bahagian perancangan dan penyelidikan dasar pendidikan bppdp akan menggunakan sistem eras 2 0 untuk menerima permohonan dan mengeluarkan surat keputusan permohonan kebenaran menjalankan kajian. Satu salinan instrumen kajian. Satu salinan ringkasan kertas ilmiah disediakan mengikut format yang ditetapkan 7 15 muka surat. Salinan surat jemputan pembentangan.

Satu salinan cadangan penyelidikan yang lengkap mengandungi bab 1. Syarat permohonan baru sistem eras 2 0.

Borang Bppdp Eprd

Borang Bppdp Eprd

Permohonan Untuk Pembentangan Kertas Ilmiah Peringkat Antarabangsa Dalam Atau Luar Negara

Permohonan Untuk Pembentangan Kertas Ilmiah Peringkat Antarabangsa Dalam Atau Luar Negara

Https Www Farizakhalid Com Uploads 3 0 7 7 30779151 Borang Eprd Pdf

Https Www Farizakhalid Com Uploads 3 0 7 7 30779151 Borang Eprd Pdf

Eras 2 0 Sistem Permohonan Secara Dalam Talian Online Bagi Menjalankan Penyelidikan Di Mana Mana Bahagian Di Bawah Kementerian Pendidikan Malaysia Kpm

Eras 2 0 Sistem Permohonan Secara Dalam Talian Online Bagi Menjalankan Penyelidikan Di Mana Mana Bahagian Di Bawah Kementerian Pendidikan Malaysia Kpm

Borang Bppdp 1 1

Borang Bppdp 1 1

Kaedah Memohon Kebenaran Menjalankan Penyelidikan Ppt Download

Kaedah Memohon Kebenaran Menjalankan Penyelidikan Ppt Download

Borang Bppdp 1

Borang Bppdp 1

Http Odyssey Calm Unimas My Mod Resource View Php Inpopup True Id 8782

Http Odyssey Calm Unimas My Mod Resource View Php Inpopup True Id 8782

Http Ipgkpm Edu My Download Pembentangan Kertas Ilmiah Peringkat Antarabangsa Pdf

Http Ipgkpm Edu My Download Pembentangan Kertas Ilmiah Peringkat Antarabangsa Pdf

Doc Borangbppdp1pn P Noor Haslinda Ramli Academia Edu

Doc Borangbppdp1pn P Noor Haslinda Ramli Academia Edu

Kaedah Memohon Kebenaran Menjalankan Penyelidikan Ppt Download

Kaedah Memohon Kebenaran Menjalankan Penyelidikan Ppt Download

Borang Membuat Kajian

Borang Membuat Kajian

Eras Sistem Permohonan Online Menjalankan Penyelidikan Pendidikan

Eras Sistem Permohonan Online Menjalankan Penyelidikan Pendidikan

Pengoperasian Educational Research Application System Versi 2 0 Eras 2 0 Bagi Permohonan Menjalankan Penyelidikan Di Sekolah Kv Km Ipg Ppd Jpn Dan Bahagian Di Bawah Kpm

Pengoperasian Educational Research Application System Versi 2 0 Eras 2 0 Bagi Permohonan Menjalankan Penyelidikan Di Sekolah Kv Km Ipg Ppd Jpn Dan Bahagian Di Bawah Kpm

Source : pinterest.com