Borang B 2017 Excel





Compare New Ea Form 2017 2018 C P 8a Pin 2017 And 2019 Download

Compare New Ea Form 2017 2018 C P 8a Pin 2017 And 2019 Download

Form Cp 58 Duty To Furnish Particulars Of Payment Made To An Agent Dealer Or Distributor Etc Malaysian Taxation 101

Form Cp 58 Duty To Furnish Particulars Of Payment Made To An Agent Dealer Or Distributor Etc Malaysian Taxation 101

Borang E 2017 Excel

Borang E 2017 Excel

Borang Tuntutan Perjalanan Excel

Borang Tuntutan Perjalanan Excel

Download Borang Ea Lhdn

Download Borang Ea Lhdn

Muhammad Faris Tech Hr Photos Facebook

Muhammad Faris Tech Hr Photos Facebook

Muhammad Faris Tech Hr Photos Facebook

All Categories Bestzfile

All Categories Bestzfile

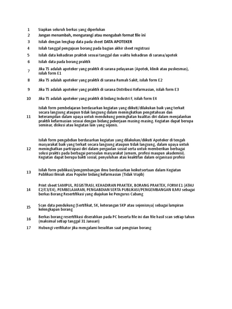
Borang Resertifikasi Format Excel Xlsx 1 Xls

Borang Resertifikasi Format Excel Xlsx 1 Xls

What Are Ea Forms And How Does It Affect You Ssm Mbrs Training

What Are Ea Forms And How Does It Affect You Ssm Mbrs Training

Http Lpm Uinjambi Ac Id Media Files 2019 07 Pedoman Sapto Pdf

Http Lpm Uinjambi Ac Id Media Files 2019 07 Pedoman Sapto Pdf

All Categories Downbup

All Categories Downbup

What Is Borang E Every Company Needs To Submit Borang E Now Updated 12 3 2020 Tax Updates Budget Business News

What Is Borang E Every Company Needs To Submit Borang E Now Updated 12 3 2020 Tax Updates Budget Business News

Cp30 Fill Online Printable Fillable Blank Pdffiller

Cp30 Fill Online Printable Fillable Blank Pdffiller

Http Lpm Uinjambi Ac Id Media Files 2019 07 Pedoman Sapto Pdf

Http Lpm Uinjambi Ac Id Media Files 2019 07 Pedoman Sapto Pdf

Pelatihan Sistem Akreditasi Perguruan Tinggi Online Sapto Ban Pt 2017 Untuk Perguruan Tinggi Ppt Download

Pelatihan Sistem Akreditasi Perguruan Tinggi Online Sapto Ban Pt 2017 Untuk Perguruan Tinggi Ppt Download

Muhammad Naim Postingan Facebook

Muhammad Naim Postingan Facebook

Http Www Hasil Gov My Pdf Pdfam Programmemfailbncp 2017 2 Pdf

Http Www Hasil Gov My Pdf Pdfam Programmemfailbncp 2017 2 Pdf

Http Staff Uks Ac Id Mjo Materi 20aipt 20 20workshop 20gwd 2028 20feb 202017 Taswan 2 Taswan 20aipt 20penilaian 20borang 202017 Pdf

Http Staff Uks Ac Id Mjo Materi 20aipt 20 20workshop 20gwd 2028 20feb 202017 Taswan 2 Taswan 20aipt 20penilaian 20borang 202017 Pdf

Borang Excel 2019 Standar 4 Tp

Borang Excel 2019 Standar 4 Tp

Cara Menggunakan Sapto Sistem Akreditasi Perguruan Tinggi Online

Cara Menggunakan Sapto Sistem Akreditasi Perguruan Tinggi Online

Source : pinterest.com